粘土矿物颗粒包壳是深埋砂岩储层中常见的一种粘土矿物蚀变产物,传统观点认为能抑制石英胶结、从而有利于孔隙度的保存。然而,粘土包壳的化学组成、成岩演化路径及其对次生胶结之间的成因联系尚未得到足够重视,尤其是在成岩演化与储层品质耦合方面,其机制尚缺乏系统研究。
资源学院马奔奔副教授团队选取鄂尔多斯盆地北部下石盒子组致密砂岩作为研究对象,通过多尺度岩石学、矿物化学和地球化学模拟方法,系统揭示了伊利石颗粒包壳的形成路径及其对储层演化的双重控制作用。研究表明,伊利石包壳通常由两层构成:内层为切向的粘土膜,由沉积期机械侵入和火山物质供给共同形成,富Fe、Ti、K,显示典型的蒙脱石组分;外层为垂直于颗粒表面的伊利石,富K贫Fe,呈纤维状结晶,主要源于后期温度升高与K-长石溶解引起的伊利化作用(图1)。这类包壳广泛发育,并覆盖了石英、长石、岩屑等碎屑颗粒。

图1 鄂尔多斯盆地伊利石包壳结构组成(内层为机械形成的蒙脱石薄膜,外层为成岩伊利石包壳,包壳表面常附生石英胶结)
本次研究首次识别出与伊利石颗粒包壳形成演化有关的三种类型自生石英:1)石英次生加大边(Qo):仅发生在包壳缺失或不连续处,沿碎屑石英表面生长;2)伊利石边缘附着石英(Craq):呈短柱状,紧贴伊利石rim生长,晶体大小与边缘厚度同步演化;3)锯齿状石英(Saq):位于伊利石包壳外围孔隙中,晶形规则,常呈锯齿状接触边缘,并逐渐充填孔隙。上述石英胶结的分布和形貌表明,伊利石包壳不仅抑制石英过生长,也成为特定类型石英胶结的“基底”,存在明确的成因联系(图2)。

图2 不同类型石英胶结样式与伊利石颗粒包壳生长关系
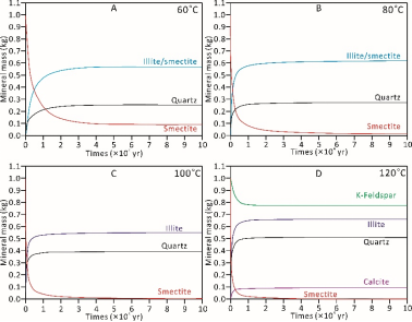
通过Geochemist’s Workbench软件和pyGeochemCalc生成的热力学数据库,研究开展了伊利石包壳形成及伴生石英胶结的反应路径模拟。结果显示:在60–100°C温度范围内,蒙脱石向伊利石/混层矿物转化,释放少量SiO₂,在包壳表面诱导Craq生长;在120°C和CO2充注条件下,钾长石溶解提供大量K⁺和SiO2,加速伊利石转化并诱导石英沉淀,形成Saq;伴随反应过程,出现局部方解石沉淀和微弱的酸化作用,进一步促进石英的空间生长(图3)。虽然伊利石包壳能在早期隔绝颗粒表面、阻碍石英过度生长,有利于孔隙度的保留;但后期其表面发育的石英胶结与包壳本身共同造成孔喉封闭与渗透率下降(图4)。

图3 数值模拟显示不同温度条件下,蒙脱石伊利化、钾长石溶蚀与石英沉淀反应演化路径

图4 致密砂岩伊利石颗粒包壳演化路径与成储效应示意图
关键结论:1)伊利石包壳由切向的内层蒙脱石膜与垂直的外层伊利石边缘组成,分别源于机械粘土渗滤和高温条件下的幕式伊利石化过程;2)伊利石化过程释放的硅促使石英在膜上生长,形成附着石英(Craq)、锯齿状石英(Saq)和石英次生加大(Qo),钾长石溶蚀进一步促进石英沉淀;3)虽然包壳可抑制同轴石英次生加大,但并不阻止异轴孔隙充填式石英胶结;4)包壳生长堵塞孔喉,显著降低渗透率,成为致密砂岩储层质量的关键控制因素。
该研究成果发表于国际沉积学领域知名期刊《Sedimentology》上,第一作者为英国威廉集团官网(武汉)的高嘉辰博士,目前在加拿大McMaster University进行博士联合培养学习。通讯作者为马奔奔副教授,主要从事深层-超深层碎屑岩水-岩作用机理、成岩物质迁移、多场耦合深层优质储层预测以及CO2地质封存方面的研究工作。该研究受到湖北省自然科学基金联合基金项目(2025AFD440)、广东省自然科学基金面上项目(2025A1515011937)和国家留学基金委CSC联合资助。
论文具体信息:Gao, J., Ma, B.*, Eriksson, K. A., Awolayo, A. N., Lu, Y., Jiang, S., Fan, S., Qi, R., & Zhang, W. (2025). Unravelling the formation and implications of illitic grain coats for reservoir quality in the Permian tight sandstones, northern Ordos Basin, central China. Sedimentology. https://doi.org/10.1111/sed.70026.